The SZ-100V2 Nanoparticle Analyzer can be used in to measure the molecular weight of proteins, starches, polymers, and dendrimers. This data can be obtained by two different methods, dynamic light scattering and static light scattering. These methods are discussed below.
There is a well-known empirical correlation between the diffusion coefficient of a macromolecule and its molecular weight known as the Mark-Houwink-Sakurada equation.
where:
The values for k and α are found empirically for polymer/solvent pairs. That is, they must be specified for the polymer, solvent, and temperature. These values can be found in the literature.
The disadvantage of this technique is that it relies on empirical constants and the nature of the average molecular weight. The advantages of this technique are that polymer concentration need not be well known and it is very fast.
The SZ-100V2 can also be used in a static light scattering mode to measure the molecular weight of proteins, small particles, and polymers. These results are generated using a Debye plot created by measuring the scattered light at a single angle (90 °) at multiple sample concentrations. The intercept of the Debye plot is used to determine the molecular weight and the slope is used to calculate the second virial coefficient.
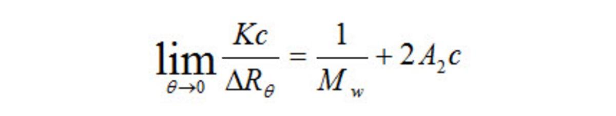
Molecular weight from static light scattering experiments uses the Rayleigh equation given below:
where:
The Debye constant is given by K=4π2n2(dn/dc)2/(λ4NA) where n is the refractive index of the liquid, (dn/dc) is the refractive index increment, λ is the wavelength of light in vacuum, and NA is Avagadro’s number. In most cases, all of these values are independent of molecular weight.
The limit give in the Rayleigh equation above deserves special attention. The equation only works at the limit of zero angle. One practice required for larger macromolecules is to use a multi-angle scattering instrument and extrapolate the result to zero angle. For smaller molecules (Rg < 20 nm), this is not necessary and data at a single angle can be used. However, this does introduce a systematic error that increases with angle used. That is, measurement results using back angle have about twice the systematic error compared to results obtained using scattering at right angle (90º). For this reason, the SZ-100V2 collects static light scattering data at 90º.
The disadvantages of this technique are that it requires careful sample preparation and is a time consuming measurement. The advantages of this technique are that the results are well-defined and do not rely on empirical correlations.
An example of Debye plots for several samples is shown in the figure below.
Debye plots to measure molecular weight
Do you have any questions or requests? Use this form to contact our specialists.
Nanoparticle Analyzer
